- 首页
- 42751-79-1
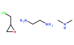
- 乙二胺与环氧氯丙烷和二甲胺的聚合物,AR
乙二胺与环氧氯丙烷和二甲胺的聚合物,AR
Poly(diMethylaMine-co-epichlorohydrin-co-ethylenediaMine)
(订货以英文名为准)猜你喜欢
CAS No:31842-01-0
CAS No:80703-23-7
CAS No:206752-36-5
CAS No:6404-29-1
CAS No:872460-12-3
CAS No:1083-48-3
CAS No:14337-43-0
CAS No:32619-42-4
CAS No:74266-68-5
CAS No:458-45-7
CAS No:2150-44-9



沪公网安备31012002005909号
点击QQ联系